Before beginning a detailed discussion of alkene reactions, let’s review briefly some conclusions from the previous chapter. We said in Section 4.10 that alkenes behave as nucleophiles (Lewis bases) in polar reactions, donating a pair of electrons from their electron-rich C═C bond to an electrophile (Lewis acid). For example, reaction of 2-methylpropene with HBr yields 2-bromo-2-methylpropane. A careful study of this and similar reactions by the British chemist Christopher Ingold and others in the 1930s led to the generally accepted mechanism shown in Figure 5.3 for an electrophilic addition reaction.

Figure 5.3 MECHANISM: Mechanism of the electrophilic addition of HBr to 2-methylpropene. The reaction occurs in two steps, protonation and bromide addition, and involves a carbocation intermediate.
The reaction begins with an attack on the hydrogen of the electrophile HBr by the electrons of the nucleophilic π bond. Two electrons from the π bond form a new σ bond between the entering hydrogen and an alkene carbon, as shown by the curved arrow at the top of Figure 5.3. The resulting carbocation intermediate is itself an electrophile, which can accept an electron pair from nucleophilic Br− ion to form a C−Br bond and yield a neutral addition product.
Electrophilic addition to alkenes is successful not only with HBr but with HCl, HI, and H2O as well. Note that HI is usually generated in the reaction mixture by treating potassium iodide with phosphoric acid and that a strong acid catalyst is needed for the addition of water.
Writing Organic Reactions
This is a good place to mention that the equations for organic reactions are sometimes written in different ways to emphasize different points. In describing a laboratory process, for instance, the reaction of 2-methylpropene with HCl might be written in the format A + B ⟶ C to emphasize that both reactants are equally important for the purposes of the discussion. The solvent and notes about other reaction conditions such as temperature are written either above or below the reaction arrow.
Alternatively, we might write the same reaction in a format to emphasize that 2- methylpropene is the reactant whose chemistry is of greater interest. The second reactant, HCl, is placed above the reaction arrow together with notes about solvent and reaction conditions.
In describing a biological process, the reaction is almost always written to show only the structures of the primary reactant and product, while abbreviating the structures of various biological “reagents” and by-products with a curved arrow that intersects the straight reaction arrow. For example, the reaction of glucose with ATP to give glucose 6-phosphate plus ADP would then be written as
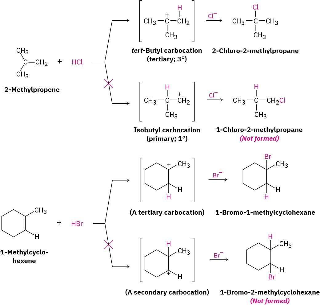
Look carefully at the electrophilic addition reactions shown in the previous section. In each case, an unsymmetrically substituted alkene has given a single addition product rather than the mixture that might be expected. For example, 2-methylpropene might react with HCl to give both 2-chloro-2-methylpropane and 1-chloro-2-methylpropane, but it doesn’t. It gives only 2-chloro-2-methylpropane as the sole product. Similarly, it’s invariably the case in biological alkene addition reactions that only a single product is formed. We say that such reactions are regiospecific (ree-jee-oh-specific) when only one of two possible orientations of an addition occurs.
After looking at the results of many such reactions, the Russian chemist Vladimir Markovnikov proposed in 1869 what has become known as:
Markovnikov’s rule
In the addition of HX to an alkene, the H attaches to the carbon with fewer alkyl substituents and the X attaches to the carbon with more alkyl substituents.
When both double-bonded carbon atoms have the same degree of substitution, a mixture of addition products results.

Because carbocations are involved as intermediates in these electrophilic addition reactions, Markovnikov’s rule can be restated in the following way:
Markovnikov’s rule restated
In the addition of HX to an alkene, the more highly substituted carbocation is formed as the intermediate rather than the less highly substituted one.
For example, addition of H+ to 2-methylpropene yields the intermediate tertiary carbocation rather than the alternative primary carbocation, and addition to 1-methylcyclohexene yields a tertiary cation rather than a secondary one. Why should this be?
Worked Example 5.1 Predicting the Product of an Electrophilic Addition Reaction
What product would you expect from reaction of HCl with 1-ethylcyclopentene?
Strategy
When solving a problem that asks you to predict a reaction product, begin by looking at the functional group(s) in the reactants and deciding what kind of reaction is likely to occur. In the present instance, the reactant is an alkene that will probably undergo an electrophilic addition reaction with HCl. Next, recall what you know about electrophilic addition reactions to predict the product. You know that electrophilic addition reactions follow Markovnikov’s rule, so H+ will add to the double-bond carbon that has one alkyl group (C2 on the ring) and the Cl will add to the double-bond carbon that has two alkyl groups (C1 on the ring).
Solution
The expected product is 1-chloro-1-ethylcyclopentane.

Worked Example 5.2: Synthesizing a Specific Compound
What alkene would you start with to prepare the following alkyl halide? There may be more than one possibility.

Strategy
When solving a problem that asks how to prepare a given product, always work backward. Look at the product, identify the functional group(s) it contains, and ask yourself, “How can I prepare that functional group?” In the present instance, the product is a tertiary alkyl chloride, which can be prepared by reaction of an alkene with HCl. The carbon atom bearing the −Cl atom in the product must be one of the double-bond carbons in the reactant. Draw and evaluate all possibilities.
Solution
There are three possibilities, all of which could give the desired product according to Markovnikov’s rule.

Problem 5.1
Predict the products of the following reactions:
(a)

(b)

(c)

(d)

Problem 5.2
What alkenes would you start with to prepare the following products?
(a)
![]()
(b)

(c)

(d)
